1
/
of
1
SKU:CYE2009
In stock
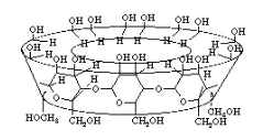
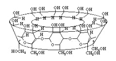
Soluble b-cyclodextrin polymer CDPSB, Water soluble cyclodextrin
Soluble b-cyclodextrin polymer CDPSB, Water soluble cyclodextrin
Pack size: 1g, please inquire for leadtime
Regular price
£63.34 GBP
Regular price
Sale price
£63.34 GBP
Unit price
/
per
Couldn't load pickup availability
Share
